Skip to main content

Transfer Function Resistor Circuit

Control Tutorials For Matlab And Simulink Frequency

Control Tutorials For Matlab And Simulink Frequency

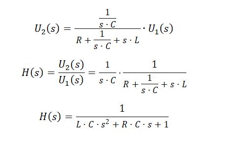
Dr Mustak E Yalcin Circuit And System Analysis Project 1

Dr Mustak E Yalcin Circuit And System Analysis Project 1

Figure 1 From Resistor Less First Order Filter Design With

Figure 1 From Resistor Less First Order Filter Design With


Figure 1 From Resistor Less First Order Filter Design With
Sallen And Key Filter Design For Second Order Rc Filters

Sallen And Key Filter Design For Second Order Rc Filters

Lm5035 How The Circuit Of The Optocoupler Part Of The

Lm5035 How The Circuit Of The Optocoupler Part Of The

A Little Sumtin About Circuits Lrc Transfer Functions The

A Little Sumtin About Circuits Lrc Transfer Functions The

Transfer Function Analysis Basic Alternating Current Ac

Transfer Function Analysis Basic Alternating Current Ac

Solved Find The Transfer Function V C S V S For The Ci

Solved Find The Transfer Function V C S V S For The Ci

Parallel Rc Circuit

Parallel Rc Circuit

Ppt On Electric Circuit Powerpoint Slides

Ppt On Electric Circuit Powerpoint Slides

Figure 7 4 From Resonance And Impedance Matching 7 1

Figure 7 4 From Resonance And Impedance Matching 7 1

Rc Circuit Wikipedia

Rc Circuit Wikipedia

State Space Representation Of Rlc Circuit Example 1

State Space Representation Of Rlc Circuit Example 1

Control Tutorials For Matlab And Simulink Time Response

Control Tutorials For Matlab And Simulink Time Response

Forward Transfer Function An Overview Sciencedirect Topics

Forward Transfer Function An Overview Sciencedirect Topics

Comments

Popular posts from this blog

Types Of Diode And Its Function

How A Pn Junction Diode Works What Is Diode Its Uses And Type Tutomi Types Of Diodes Eeweb Community Introduction To Diode The Engineering Projects Diodes Schottky Diode Definition Symbol Working And Zener Diode Wikipedia Different Types Of Diodes Ideal And Real Diodes Switching What Is Diode Symbol Types Of Diode Characteristics Type Of Diode Different Types Of Diode A Semiconductor Schottky Diode Or Schottky Barrier Semiconductor Diode Diode Types Types Of Diode Electronics Notes Diode Definition Symbol Types Uses Britannica Diode History Operation Modes Vi...

Transistor Tip41c Reemplazo

Tip41c datasheet pdf 11. The complementary pnp type is tip42c. Amazon Com Mcigicm Tip41c Tip41 Transistor Bipolar Bjt Tip42 Datasheet Equivalente Reemplazo Todos Los Transistor Equivalent Book 2sc2238 Transistor Components The tip41c is a base island technology npn power transistor in to 220 plastic package that make this device suitable for audio power linear and switching applications. Transistor tip41c reemplazo . Tip41a41b41c tip42a42b42c complementary silicon power transistors n sgs thomson preferred salestypes description the tip41a tip41b and tip41c are silicon epitaxial base npn power transistors in jedec to 220 plastic package intented for use in medium power linear and switching applications. Remplazo de transistor tip41c. Replacement and equivalent transistor for the tip41c you can replace the tip41c with the bd711 bd911 bdt41c bdt41cf mje5180 mje...

Switched Capacitor Bandpass Filter Circuit

The filter described below is useful for detecting a signal thats closely surrounded by spurs. With current mos technology this makes operation of switched capacitor lters above a few hundred kilo hertz impossible. Lm833 Lmf100 Mf10 Application Note 779 A Basic Introduction Example Switched Capacitor Filter Switched Capacitor Based Bandpass Filter Boasts Nearly The switched capacitor resistor. Switched capacitor bandpass filter circuit . Switched capacitor based bandpass filter boasts nearly rectangular shape. Four common types of filters are. Resistors are 14 w carbon film or carbon composition except for r43. Switched capacitor circuits can also be used to build filters. The use of a switched capacitor filter for brick wall. Experiments carried out on a prototype show a tunable center frequency range of 260 mhz 240500 mhz with a quality fact...